✨100 ĐỀ KIỂM TRA TOÁN 9 - NGUYỄN ĐỨC TẤN - KV











100 Đề Kiểm Tra Toán 9 - Nguyễn Đức Tấn
Cuốn sách tham khảo này sẽ được chia thành 3 phần. Sẽ giúp học sinh có một tài liệu tham khảo hay có giá trị để nâng cao kiến thức về toán. Và một tài liệu hay để quý thầy cô giảng dạy.
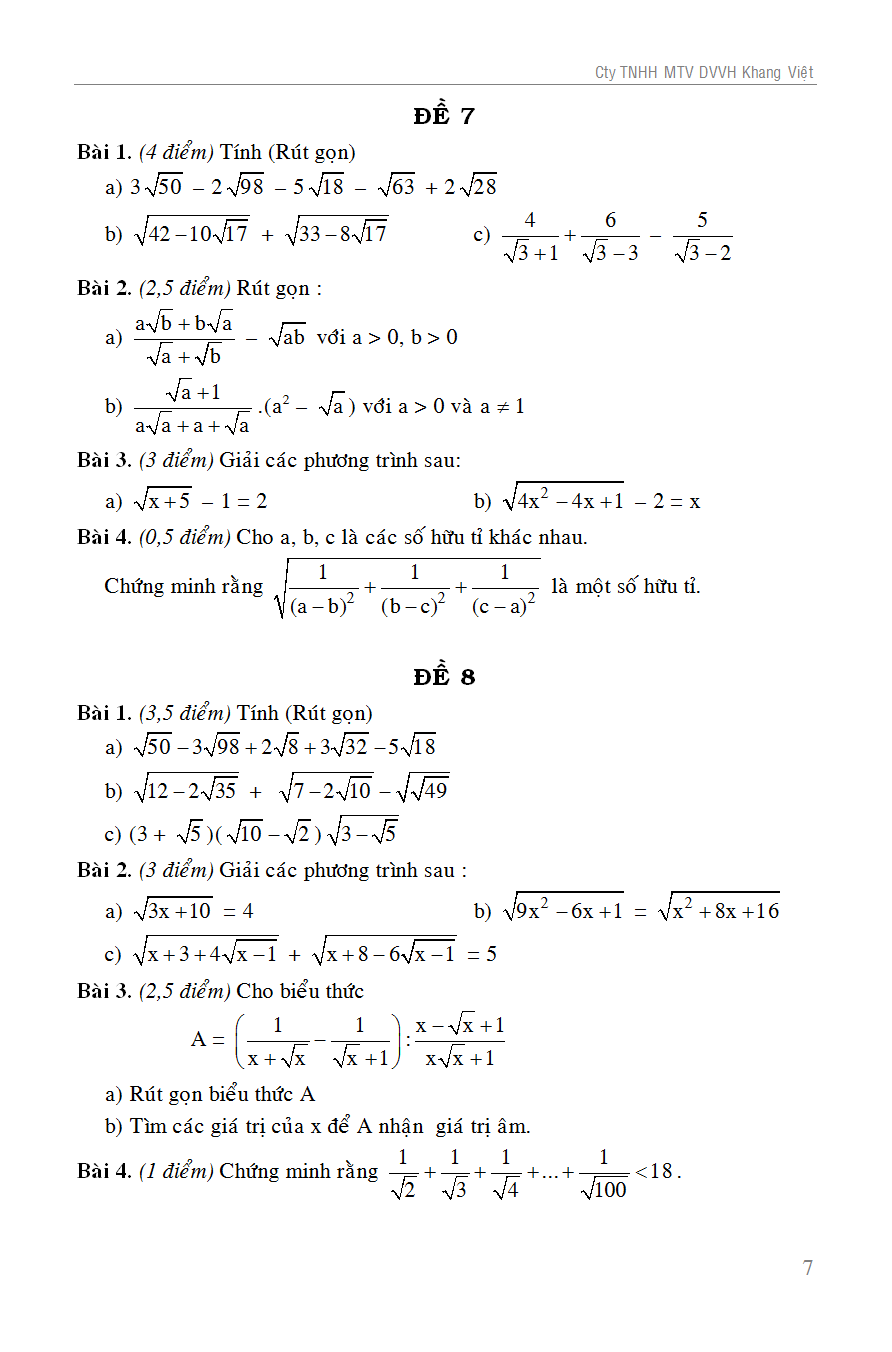
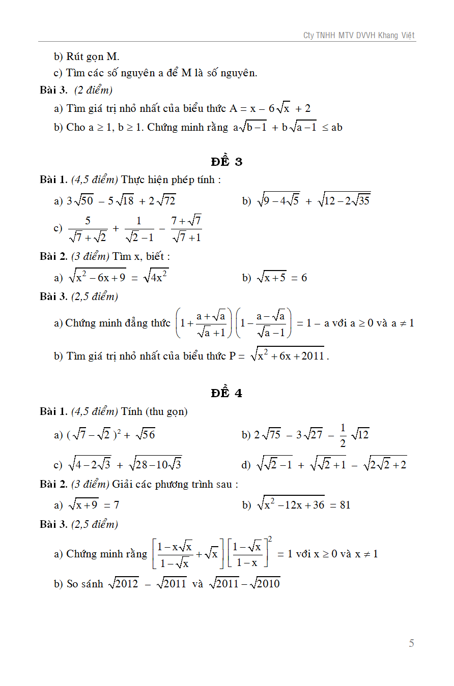
1: Đề kiểm tra và hướng dẫn giải
2: Đề kiểm tra ở một vài địa phương
3: Đề kiểm tra học sinh giỏi Toán
4: Phụ lục: Thử thách




Bài Tập Tiếng Anh Lớp 7 (Có Đáp Án) The Langmaster - Bài Tập Tiếng Anh Lớp 7 được biên soạn dựa vào phương pháp dạy ngôn ngữ giao tiếp (Communicative Language Teaching Method), sách tập
Một chàng trai trẻ bị đâm đến chết vì những con cá quý giá của mình. Một ông trùm châu Á mua con cá rồng độc nhất vô nhị với giá 150.000 đô la. Một
Dẫu ta luôn khao khát có được những câu trả lời rõ ràng cho muôn vàn rắc rối cuộc đời, hiếm khi nào ta có được chúng. Trong cuốn sách này, Marc Lesser cho người
Tuổi Ấy Mình Yêu Hồi ức về Hà Nội, “tuổi mình” thuộc thế hệ 6x, 7x. Chuyện của thế hệ ấy tức là vừa đi qua chiến tranh. Hà Nội với biệt thự Pháp sang
Các nhà nữ quyền luôn than vãn rằng phụ nữ đang bị đối xử bất bình đẳng trong mọi môi trường làm việc. Kẻ bị kết án trong câu chuyện này, tất nhiên, là đàn
Một ý niệm về nỗi buồn là một cuốn sách hoàn toàn mới về một vấn đề mà nhiều người còn mơ hồ. Cuốn sách trở nên nổi tiếng toàn cầu sau khi được thành
“Chúng ta thả lưỡi câu xuống đại dương ngôn ngữ mênh mông và thăm thẳm, hy vọng có thể câu lên những ngôn từ phù hợp và cần thiết cho mình…” Tục ngữ trao cho
Mã hàng 8936067609653 Tên Nhà Cung Cấp Minh Long Tác giả Chu Đàn Người Dịch Phương Linh NXB Văn Học Năm XB 2024 Trọng lượng (gr) 310 Kích Thước Bao Bì 20.5 x 15
Thế Nào Và Tại Sao - Robot Những Bộ Óc Siêu Việt Và Những Trợ Thủ Đắc Lực Cho dù dưới dạng xe tự hành trên sao hỏa hoặc tàu ngầm dưới đáy biển
Thí Nghiệm Đầu Hàng - Hành Trình Tuân Theo Sự Hoàn Hảo Của Dòng Đời Cốt lõi của Thí nghiệm đầu hàng là một câu hỏi đơn giản: Liệu ta sẽ sống tốt hơn khi
Trên tay các em là cuốn sách “ Tìm Hiểu Về: Cơ Thể Người ”. Những hình ảnh sinh động cùng những thí nghiệm trực quan giúp các em dễ dàng tiếp cận với các kiến thức
Giải đáp giúp các trẻ, đang muốn tìm hiểu khám phá về “Ngôi nhà Trái đất” thông qua cuốn sách này bé được khám phá Trái đất của chúng ta, tuổi của Trái đất đến
Rất nhiều người có quan niệm sai lầm rằng toán học là khô khan, buồn chán, thậm chí là vô dụng, xa vời cuộc sống. Giá như họ được đọc cuốn sách “Đại Số Vui”
Sống Vì Mình Bạn có cảm thấy bất hạnh không? Bạn có cảm thấy bị đối xử tàn tệ không? Bạn có xu hướng nỗ lực rất nhiều trong mối quan hệ không? Bạn
Xã hội giống như một ván cờ mà ở đó, một nước đi dù sai lầm hay đúng đắn sẽ trực tiếp ảnh hưởng đến tất cả những lựa chọn tiếp theo. Con người là
Giữa chốn hỗn độn nơi công sở, làm thế nào để ta cả thiện những mặt tích cực như sự thành công, sáng tạo, thử thách và niềm vui khi tham gia vào một nỗ
Làm Thế Nào Để Kết Giao Với Người Lạ Trong cuộc sống và công việc hằng ngày, chúng ta thường phải làm quen với những người bạn mới, giao tiếp với những người lạ, đàm
Nếu đắc nhân tâm là cuốn sách kinh điển giúp bạn thay đổi cuộc đời và đưa bạn đến thành công, thì "Quẳng gánh lo đi và vui sống" chính là
Mặt Dày Tâm Đen – Nhân Viên Khéo Léo Tỏa Sáng Chốn Văn Phòng ------------ Nhân viên khéo léo tỏa sáng chốn văn phòng Công sở là một xã hội thu nhỏ, nhân viên
Tâm Lý Học Nói Gì Về Những Mã F TÂM LÝ HỌC NÓI GÌ VỀ NHỮNG MÃ F - “Chúng ta vẫn có thể mắc trầm cảm dù không có lý do đặc biệt
6 bước chào ngày mới để biến đại học thành năm tháng thanh xuân rực rỡ nhất. Bạn sẽ được học hỏi từ cuốn sách này: Kỹ thuật phao cứu sinh – LIFE S.A.V.E.R.S để
Sách Kỹ Năng Sống: Bí Quyết Đọc Tâm (Tái Bản 2018) - (Cuốn Sách Đọc Vị, Thấu Hiểu Người Khác Chỉ Trong Giây Lát / Tặng Kèm Postcard Greenlife) Có người nói, ngày nay chính
Những "công dân toàn cầu" mang những nét đặc trưng nào? Họ có sinh hoạt, làm việc, và hành xử theo các chuẩn mực khác biệt của riêng một cộng đồng mang đẳng cấp cao?
Đường Nào Cũng Trong Lòng Bàn Tay Bàn tay nhỏ bé của con người có thể làm được những gì? Có thể lật giở trang sách để tiếp thu tri thức, làm giàu tâm hồn.
Bức Tường Trong Chai Tequila Nhà xuất bản : Nhà Xuất Bản Hội Nhà Văn. Công ty phát hành : Phương Nam Book. Tác giả : Trần Băng Khuê. Kích thước : 12 x 20
Công ty phát hành NXB Trẻ Tác giả: Lý Quí Trung Ngày xuất bản 2021 Kích thước 13 x 20.5 cm Loại bìa Bìa mềm Số trang 248 Nhà xuất bản NXB Trẻ
Dám Sống Một Cuộc Đời Rực Rỡ Nhà xuất bản : Nhà Xuất Bản Văn Học. Công ty phát hành : Người Trẻ Việt. Tác giả : Hoàng Anh Tú. Kích thước : 13 x
Đây là đứa con tinh thần thứ hai của tác giả Phạm Minh Mẫn sau cuốn “Mình đang sống cuộc đời của ai?” ra mắt vào tháng 3 năm 2021. Lần này chàng trai 8X
Ngày nay những cá nhân sáng tạo và tập thể của họ đang là nguồn động lực mới cho sự phát triển kinh tế, mang đến sự thịnh vượng cho các công ty và các
Bạn đã bao giờ đạt được một điều gì đó trong đời mà bạn cảm thấy rất tự hào, nhưng rồi người khác làm theo và làm tốt hơn bạn, cảm giác như bạn bị
Bản tư liệu quý giá, giới thiệu 18 lá thư của các nhà lãnh đạo giáo dục cao cấp của 18 quốc gia gửi tới những người kế nhiệm Thay đổi để giáo dục trở
Như Francois Arago từng nói, Thiên văn học là một ngành khoa học tốt số bởi bản thân nó không cần ai tô vẽ gì thêm. Những thành tựu của Thiên văn học hấp dẫn đến nỗi
Einstein Bỏ Túi - 10 Bài Học Ngắn Về: Du Hành Thời Gian Công Ty Phát Hành: Alpha Books (*** Sách Bản Quyền ***) QUYỀN LỢI KHÁCH HÀNG - Đảm bảo 100% sách gốc bản quyền
Big 4 Bộ Đề Tự Kiểm Tra 4 Kỹ Năng Nghe – Nói – Đọc – Viết (Cơ Bản và Nâng Cao) Tiếng Anh Lớp 9 Tập 2 Big 4 Bộ Đề Tự Kiểm Tra
Nếu bạn cảm thấy mất cân bằng và ý thức rõ rằng tình trạng hiện giờ sẽ không kéo dài lâu. Nếu bạn có một sự nghiệp đang lên nhưng không muốn bỏ mặc các
Sách Kỹ Năng Sống Và Làm Việc - Bản Kế Hoạch Thay Đổi Định Mệnh (Tái Bản 2017) MỘT ỨNG DỤNG CHO CUỘC ĐỜI BẠN “Bước đầu để đến được một nơi nào đó là
Đã đến lúc bạn nên bước ra khỏi vòng luẩn quẩn do gã xấu tính mang tên Lo Lắng tạo ra, để tận hưởng một cuộc sống trọn vẹn! Với 100 chỉ dẫn thực tế
Nói với tuổi hai mươi I. Giới Thiệu Sách Thắm thiết và sâu đậm, Nói Với Tuổi Hai Mươi tựa như những lời tâm tình nhẹ nhàng gieo vào lòng độc giả. Chọn lối
Kiếm Chồng Đại Gia Kiếm Chồng Đại Gia là câu chuyện về cuộc sống và tình cảm của những cô gái trẻ trong cuộc sống khắc nghiệt chốn thị thành. Đây là tác phẩm thứ ba
Hãy Sống Cuộc Đời Như Bạn Muốn Hãy sống cuộc đời như bạn muốn, cuốn sách kỹ năng của tác giả Pam Grout sẽ hướng dẫn bạn cách thay đổi thái độ, nắm bắt ý
Mã hàng 8794069301988 Tên nhà cung cấp ZEN Books Tác giả Oopsy NXB Nhà Xuất Bản Phụ Nữ Năm XB 2019 Trọng lượng(gr) 200 Kích thước 14 x 20 Số trang 192 Hình thức Bìa
Cuốn sách nghiên cứu về triết học của Trang Tử, trình bày học thuyết và nêu những điểm chủ chốt cấu thành nên triết học Trang Tử.
Mã Gen Của Nhà Cải Cách (Tái Bản 2018) Cách tân - đó chính là nhân tố cốt tử của nền kinh tế toàn cầu, đồng thời là ưu tiên chiến lược của hầu như
Lớn Lên Sẽ Khác Ai rồi cũng cần phải lớn lên, trưởng thành. Trưởng thành là một quá trình mà cột mốc đánh dấu không gói gọn trong một độ tuổi nhất định, đó còn
CÓ PHẢI MUỐN ĐƯỢC CHIỀU THÌ PHẢI “BIẾT ĐIỀU"? Vì sao có những cô gái cuộc sống lúc nào cũng gặp may mắn, đi làm thì dễ dàng thăng tiến, về nhà thì được chồng
Sách - Khoảng Cách Từ Nói Đến Làm Tại sao lại có quá nhiều khoảng cách giữa những điều mà các công ty biết là họ nên làm với những việc họ thực sự
Việc Hôm Nay Chớ Để Ngày Mai Tại sao có người luôn đứng đầu danh sách hoàn thành xuất sắc công việc? Họ giải quyết xong xuôi hàng đống giấy tờ, hoàn thành đúng thời
HIỂU BẢN THÂN, QUÊN BẢN THÂN Tác giả: Marc Lesser Thể loại: Kỹ năng sống Số trang: 332 Loại bìa: Mềm Kích thước: 20.5 x 14.5 cm Xuất bản: NXB Thanh Niên Năm phát hành:
Trong độ xuân xanh phơi phới ngày ấy, bạn không dám mạo hiểm, không dám nỗ lực để kiếm học bổng, không chịu tìm tòi những thử thách trong công việc, không phấn đấu hướng
Tất cả các bậc làm cha làm mẹ đều giống nhau, đều có chung một tâm lý là ngay khi cảm thấy con mình có khả năng gặp nguy hiểm, họ đã lo sợ và
Cuốn sách này bao gồm nhiều phép tính đơn giản và các hoạt động thú vị, giúp bé làm quen với toán học được áp dụng trong cuộc sống hàng ngày. Cuốn sách giúp bé
Cuốn sách này bao gồm nhiều phép tính đơn giản và các hoạt động thú vị, bé có thể làm đi làm lại nhiều lần. Cuốn sách giúp bé phát triển những kĩ năng sau:
Trái Cây Đại Chiến Zombie - Tập 2: Công Viên Khủng Long Những chuyến phiêu lưu kỳ thú của các bạn trái cây đáng yêu về thời đại khủng long, cùng những cuộc chạm trán
Du học là hành trình chông gai có sự tham gia của cả cha mẹ và con cái, từ khâu chuẩn bị đến khi con nhập trường và học tập suốt nhiều năm. Tiến sĩ
Ta lo lắng về một điều gì đó, nhưng rồi chợt nhận ra nó thật chẳng đáng lo đến vậy. Thật ra, 90% nỗi lo lắng của ta sẽ không thành hiện thực. Ta bỗng
Được Tôn Trọng - 21 Phương Pháp Nhân Đôi Giá Trị Của Bạn Bạn có từng cảm thấy bị đánh giá thấp trong công ty hoặc bị xem thường trong gia đình chưa? Ai lại
THÔNG TIN TÁC PHẨM - Tên tác phẩm : Quẳng Gánh Lo Đi Và Vui Sống - Tác giả: Dale Carnegie - Thể loại: Hướng Nghiệp & Phát Triển Bản Thân - Nhà xuất bản:
Trên đời này, ai cũng có một nguyên tắc sống riêng, song, đôi khi quá cứng nhắc, đôi khi quá dễ dãi, khiến cho chúng ta cảm thấy có phần ngột ngạt và hối hận.
SÁCH - hướng dẫn học tốt toán 8 tập 2 (bám sát sgk cánh diều) Quý thầy, cô cùng các em học sinh thân mến! Sau một năm thực hiện chương trình giáo dục phổ
Chắc hẳn nhiều người khi thấy tiêu đề “Critical thinking” sẽ thắc mắc tại sao không phải là “Tư duy phản biện” mà là “Tư duy biện luận”? Xét về ngữ nghĩa, từ “phản biện”
👁️ 47 | ⌚2025-09-21 11:52:05.952


- Sữa Tắm Trắng Da Tinh Chất Sữa Dê Good Look (1.2L) được chiết xuất từ các thành phần tự nhiên có lợi ích tuyệt vời cho làn da như: Rễ cây dâu tắm, sữa dê
Nếu bạn đang mắc kẹt trong lối mòn, hoặc sống một cuộc sống theo thói quen, hằng ngày lặp đi lặp lại những công việc như một cái máy móc, để mỗi ngày trôi qua
Trong nền kinh tế kỹ thuật số ngày nay, công nghệ thông minh cung cấp thông tin chi tiết về sản phẩm chỉ với một cú nhấp chuột, hoặc thậm chí cung cấp thông tin
Cuốn sách gồm 52 thí nghiệm về Vật Lý, Hóa học và Sinh học. Trẻ sẽ được tìm hiểu những hiện tượng hết sức quen thuộc của cuộc sống như hiệu ứng nhà kính, chuyển
Mã hàng 89349742597 Tên Nhà Cung Cấp NXB Trẻ Tác giả Trần Văn Phương NXB Trẻ Năm XB 2025 Trọng lượng (gr) 219 Kích Thước Bao Bì 20.5 x 13 x 1 cm Số trang
Tác giả: Inamori Kazuo Dịch giả: Nguyễn Đỗ An Nhiên Khổ sách: 13x20,5 Số trang: 184 Giá bán: 95,000 VNĐ ISBN: 978-604-1-26197-6 | Barcode: 8934974206330 In lần thứ 1 năm 2025 Nhà xuất bản Trẻ
Bài Tập Tiếng Anh Lớp 7 (Có Đáp Án) The Langmaster - Bài Tập Tiếng Anh Lớp 7 được biên soạn dựa vào phương pháp dạy ngôn ngữ giao tiếp (Communicative Language Teaching Method), sách tập
Một chàng trai trẻ bị đâm đến chết vì những con cá quý giá của mình. Một ông trùm châu Á mua con cá rồng độc nhất vô nhị với giá 150.000 đô la. Một
Điềm Tĩnh Để Bình Yên - Real Calm
Nhà tâm lý học và triết gia người Mỹ William James từng nói: “Hành động tưởng chừng đi sau cảm xúc, nhưng thực ra hành động và cảm xúc đi cùng nhau; và bằng cách
Tác giả: Nguyễn Tuấn Quỳnh Nhà phát hành: Saigon Books Nhà xuất bản: Nhà xuất bản Thế Giới Kích thước: 13 x 20.5 cm Số trang: 248 Cân nặng (g): 300 Năm xuất bản: 2022 Mã sách: 8935278607601 Người ta đánh giá chỉ số IQ hay EQ không quan trọng bằng chỉ số AQ (chỉ số vượt khó). Vượt khó chính là một thái độ sống tích cực. Như vậy, trí thông minh hay cảm xúc không quyết định sự thành bại trong cuộc đời bạn, mà cả thái độ sống. Có thái độ tích cực, vạn sự sẽ thành. Mang thái độ tiêu cực, muôn sự sẽ bại. Sống ở thể chủ động tập hợp những bài viết và tâm huyết của tác giả Nguyễn Tuấn Quỳnh – một người chia sẻ, truyền cảm hứng, một người đi, một người viết và đồng thời cũng là một doanh nhân. Cuốn sách này phản ánh suy nghĩ, những trăn trở, chia sẻ của tác giả với thế hệ trẻ thông qua những chuyến đi thú vị đến các nước trên thế giới và công việc kinh doanh mà tác giả yêu thích. Với tác giả, hành trình cuộc đời của con người chính là khám phá những năng lực và khả năng của bản thân. Sống ở thể chủ động sẽ giúp bạn nhận ra, khi bạn có những ước mơ cháy bỏng, chúng sẽ thôi thúc bạn hăm hở bắt tay thực hiện, bạn sẽ tạo ra được một cuộc sống thú vị và có giá trị.
Yêu Không Đúng Cách Trách Được Ai Mong bạn hãy yêu sáng suốt, hãy yêu khi bạn sẵn sàng, yêu khi bạn tự tin và trân trọng chính bản thân m.ình. Bạn thân mến, phải
Em muốn làm con ngoan (TB 2018) I. Giới Thiệu Sách Em Muốn Làm Con Ngoan (Tái Bản 2018) Một cuốn sách đi vào thế giới nội tâm của con trẻ Kim Linh là học
Dẫu ta luôn khao khát có được những câu trả lời rõ ràng cho muôn vàn rắc rối cuộc đời, hiếm khi nào ta có được chúng. Trong cuốn sách này, Marc Lesser cho người
Sách - Sống Bản Lĩnh Theo Cách Một Quý Cô - All The Rules - SKYBOOOKS - Tủ Sách Quí Cô - Free Book Care Lồng ngực trái của người đàn ông không phải là
Từ IQ Đến EQ - Nắm Bắt Thành Công Qua Trí Tuệ Cảm Xúc ------------ Nhà đạo đức học Aristore từng nhận định: “Bất cứ ai cũng có thể trở nên giận dữ – đó
Dũng Cảm Để Trưởng Thành Nhà xuất bản : Nhà Xuất Bản Văn Học. Công ty phát hành : Mintbooks. Tác giả : Choi Seoyoung. Kích thước : 13 x 20.5 x 1.1 cm. Số
SÁCH: SÁNG TẠO - PHƯƠNG THỨC LÀM VIỆC VÀ SINH TỒN TRONG TƯƠNG LAI Tác giả : Phương Quân Dịch giả :Đỗ Thúy Hạnh NXB: NXB Thanh Niên Kích thước : 14.5 cm x 20.5
HIỂU BẢN THÂN, QUÊN BẢN THÂN Tác giả : Marc Lesser Dịch giả :Hải Thương Nhà xuất bản: Thanh Niên Kích thước : 14.5 x 20.5 cm Năm xuất bản : 2020 Số trang :
Sách Một Cuốn Sách Trầm Cảm - Skybooks - BẢN QUYỀN ------------ THÔNG TIN SÁCH: Tác phẩm: Một cuốn sách trầm cảm Tác giả: macmart Số trang: 208 trang Kích thước: 13 x 19 cm