✨Bộ Đề Kiểm Tra Toán 9 (Bám Sát SGK Chân Trời Sáng Tạo) - HA















Bộ Đề Kiểm Tra Toán 9 (Bám Sát SGK Chân Trời Sáng Tạo) Sau một năm thực hiện Chương trình Giáo dục phổ thông mới, với phương châm là vừa giúp học sinh phát triển phẩm chất và năng lực vừa phải mở mang kiến thức vừa phải rèn luyện kĩ năng, quý Thầy Cô và các em học sinh đã từng bước tiếp cận nội dung và phương pháp mới. Đồng hành cùng quý thầy cô và các em học sinh, tác giả tiếp tục biên soạn cuốn sách “Bộ đề kiểm tra toán 9” với hy vọng sẽ là tài liệu tham khảo thiết thực cho quý thầy cô và các em học sinh rèn luyện năng lực theo hướng phát triển. Cuốn sách có nội dung bám sát bộ sách giáo khoa “Chân trời sáng tạo” của Nhà xuất bản Giáo dục Việt Nam. Ngoài ra quý phụ huynh có thể sử dụng cuốn sách làm tài liệu tham khảo nhằm giúp con em mình học môn Toán tốt hơn. Cuốn sách được biên soạn theo từng bài học và chia làm 3 phần. – Phần 1: Kiến thức cơ bản và các đề kiểm tra thường xuyên. − Phần 2: Các đề kiểm tra giữa kì 1, 2 và có hướng dẫn giải. − Phần 3: Các đề kiểm tra cuối kì 1, 2 và có hướng dẫn giải. Trong quá trình biên soạn, cuốn sách chắc chắn không tránh khỏi những thiếu sót nhất định. Tác giả rất mong nhận được ý kiến đóng góp chân thành của bạn đọc gần xa, đặc biệt là quý Thầy, Cô và các em học sinh thân yêu để cuốn sách ngày càng hoàn thiện hơn trong lần tái bản tiếp theo.
Công ty phát hành Nhà Sách Hồng Ân Năm Xuất Bản:2024 Tác Giả Trịnh Văn Bằng Kích Thước:17 x 24 cm Nhà Xuất bản Đại Học Quốc Gia Hà Nội Số Trang:215 Bìa Mềm Barcode :8935092837253




Từ năm học 2021-2022, chương trình và sách giáo khoa Ngữ văn Trung học Cơ sở mới được triển khai dạy và học trên phạm vi toàn quốc. Để góp phần giúp giáo viên, phụ
Bạn đang tìm kiếm một người bạn đồng hành tin cậy để vượt qua các kỳ thi học sinh giỏi Toán lớp 9? Bạn mong muốn tiếp cận những dạng toán chuyên sâu, tư duy
Sách ôn thi thpt quốc gia 2025, Sách ôn thi tốt nghiệp môn Vật Lí 1. Mô tả Sách ôn thi thpt quốc gia 2025, Sách ôn thi tốt nghiệp môn Vật Lí - Đề
Sách có hai tập, bám sát các nội dung cơ bản theo định hướng phát triển năng lực đọc, viết, nói và nghe của sách giáo khoa Ngữ văn 9 bộ “Kết Nối Tri Thức".
Bồi Dưỡng Học Sinh Giỏi Toán 9 (Luyện Thi Vào Lớp 10) Sách nhằm góp thêm vào tủ sách của bạn đọc một tài liệu bồi dưỡng học sinh giỏi lớp 9 và luyện thi
Các em học sinh lớp 7 yêu quýt Sau một năm lớp 6 học tập môn Ngữ văn, các em đã được tiếp xúc với các văn bản miêu tả, tự sự, biểu cảm, nghị
Sách - Tự tin luyện thi vào lớp 10 môn hóa học dành cho học sinh lớp 9 (dùng chung các bộ sgk hiện hành) Quý Thầy, Cô cùng các em học sinh thân
Sách - Bài tập phát triển năng lực Ngữ văn 8 tập 1 (Chân trời) THÔNG TIN CHI TIẾT Sách - Bài tập phát triển năng lực Ngữ văn 8 tập 1 (Chân trời)
•Phần 1. Định hướng và phát triển tư duy giải bài tập toán khó. Trong từng bài là các bài toán tương tự các bài tập trong sách giáo khoa, bài tập quen thuộc,
Thông tin chi tiết: Công ty phát hành: Sách Nhân Dân Tác Giả : Nguyễn Hồng Quân Số trang : 185 Năm xuất bản : 2022 Khổ sách : 19x27cm Hình thức : bìa
Làm bài kiểm tra là một phần quan trọng trong quá trình học tập của học sinh. Bài kiểm tra không những giúp giáo viên đánh giá chất lượng học tập của học sinh mà
•Phần 1. Định hướng và phát triển tư duy giải bài tập toán khó. Trong từng bài là các bài toán tương tự các bài tập trong sách giáo khoa, bài tập quen thuộc,
Sách - Toán 6 - Các Bài Toán Thực Tế Tác Giả: Nhiều tác giả Nhà Xuất Bản: Giáo Dục Việt Nam
Chinh Phục Đề Thi Vào Lớp 6 Trường THCS Chất Lượng Cao Môn Toán CÁC ƯU ĐIỂM CỦA CUỐN SÁCH: 1. Tổng ôn 30 đề then chốt môn Toán. Việc luyện tập nhuần nhuyễn giúp
Sách - Đề Kiểm Tra Toán 9 (Bám Sát SGK Kết Nối Tri Thức Với Cuộc Sống) - HA Quý Thầy, Cô cùng các em học sinh thân mến! Sau khi thực hiện Chương trình
Sách - HƯỚNG DẪN ÔN LUYỆN VÀO LỚP 6 MÔN TIẾNG VIỆT Theo chương trình mới (Dùng cho cả 3 bộ sách) Tác giả:Diêu Lan Phương (chủ biên) Trần Thu Hoa Phan Thùy Dương Lê Thu
Sách - Đề Kiểm Tra Toán 9 (Bám Sát SGK Kết Nối Tri Thức Với Cuộc Sống) - HA Quý Thầy, Cô cùng các em học sinh thân mến! Sau khi thực hiện
Nhâm mục đích giúp giáo viên và các em học sinh có thêm tài liệu luyện tập, củng cố, mở rộng và nâng cao kiến thức, chúng tôi biên soạn bộ sách Trọng tâm ngữ
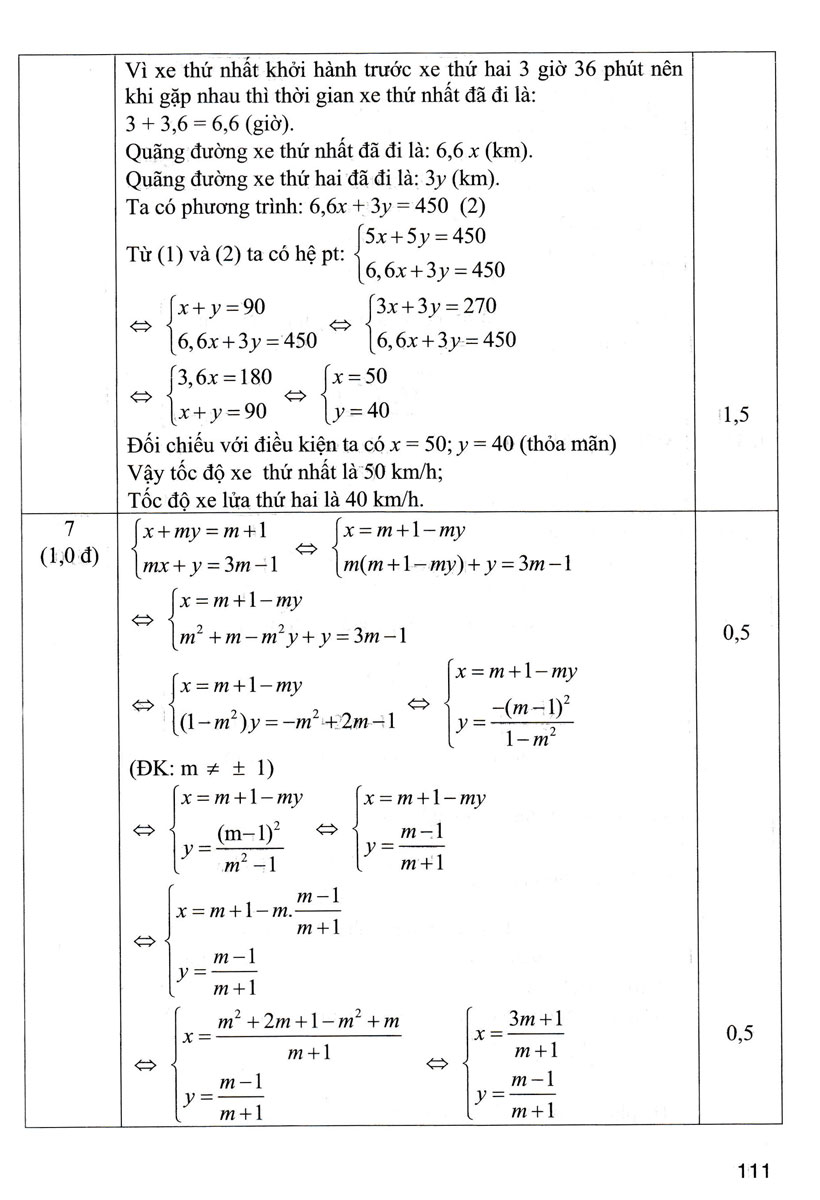
Sách - Bộ Đề Kiểm Tra Toán 9 (Bám Sát SGK Chân Trời Sáng Tạo) - HA Quý Thầy, Cô cùng các em học sinh thân mến! Sau khi thực hiện chương trình giáo
Sách - Đề Kiểm Tra Toán 9 (Bám Sát SGK Kết Nối Tri Thức Với Cuộc Sống) - HA Quý Thầy, Cô cùng các em học sinh thân mến! Sau khi thực hiện Chương trình
Mô Tả Sản Phẩm Chương 1: Số hữu tỉ Chương 2: Số thực Chương 3: Góc và đường thẳng song song Chương 4: Tam giác bằng nhau Chương 5: Thu thập và biểu diễn dữ
100 Bài Làm Văn Hay Lớp 7 Với môn Tiếng Việt lớp 7, các em sẽ được bổ sung một lượng kiến thức phong phú, mới mẻ và hấp dẫn. Các em cũng sẽ được
Nội dung gồm có: Bài 6: Bài học cuộc sống Bài 7: Thế giới viễn tưởng Bài 8: Trải nghiệm để trưởng thành Bài 9: Hòa điệu với tự nhiên Bài 10: Trang sách
Củng cố và ôn luyện Tiếng anh lớp 7 - theo chương trình mới nhất của Global Success. Cuốn sách được chia thành các đơn vị bài học tương tự như sách giáo khoa để
MÔ TẢ SẢN PHẨM Nhà xuất bản: NXB Dân Trí Tác giả: Nhiều tác giả Loại bìa: Bìa Mềm Số trang: 180 Năm xuất bản: 2025 150 Bài Văn Hay 8 Văn hay
Sách - Bài giảng và lời giải chi tiết tiếng anh 9 (dùng kèm sgk kết nối - global success) - HA Đáp ứng yêu cầu đổi mới trong Chương trình giáo dục phổ thông
Nhà phát hành: Công ty TNHH Dịch vụ Giáo dục Việt Nam Tác giả: Diễn Lê Nhà xuất bản: NXB Đại Học Quốc Gia Hà Nội Năm xuất bản: 2023 Số trang: 200 trang
Củng Cố Và Ôn Luyện Toán 6 - Tập 2 Cuốn sách "Củng cố và ôn luyện Toán 6" là người bạn đồng hành tuyệt vời trong hành trình chinh phục môn Toán lớp 6
Quyển “Bài tập tiếng Anh 7 – Dùng kèm tiếng Anh 7” được biên soạn dựa trên sách Tiếng Anh 7 i-learn Smart World nằm trong bộ Sách giáo khoa Cánh Diều. Sách bao gồm
Cuốn sách Giải bài tập Toán lớp 7 được biên soạn theo sách giáo khoa Kết nối tri thức với cuộc sống nhằm giúp các em học sinh lớp 7 có thêm một tài liệu
Sách - Tuyển tập bộ đề môn toán luyện thi THPT cấu trúc đề thi năm 2025 - HA Công ty phát hành Nhà Sách Hồng Ân Năm Xuất Bản 2025 Bìa mềm Tác Giả
Bộ mô hình kỹ thuật lớp 4-5 dùng cho học sinh: Sản phẩm chất lượng cao, được sản xuất từ nhựa nguyên sinh cao cấp 100% Kiểu dáng , màu sắc đa dạng Tháo ,
Học Tốt Khoa Học Tự Nhiên 7 (Dùng Kèm SGK Cánh Diều) Quý thầy, cô, các bậc phụ huynh và các em học sinh thân mến! Sách giáo khoa Khoa học tự nhiên lớp 7 được
Hướng Dẫn Học Ngữ Văn 8 - Tập 2 (Dùng Kèm SGK Chân Trời Sáng Tạo) Đồng hành cùng với chủ trương lớn của Đảng, Nhà nước về việc thay đổi sách giáo khoa,
Hướng Dẫn Học Ngữ Văn 8 - Tập 1 (Dùng Kèm SGK Chân Trời Sáng Tạo) Đồng hành cùng với chủ trương lớn của Đảng, Nhà nước về việc thay đổi sách giáo khoa, trong
Sách - Hướng Dẫn Nói Và Viết Văn Biểu Cảm - Tự Sự - Thuyết Minh Lớp 7 - HA Trong chương trình Giáo dục phổ thông tổng thể 2018, ở môn Ngữ văn lớp
Sách được bố cục theo từng đơn vị bài học, tương ứng với từng Unit trong sách giáo khoa Tiếng Anh 8. Mỗi đơn vị bài học gồm: Từ vựng (Vocabulary): tổng hợp tất cả

Tác giả : Kiều Bắc - Nguyễn Quốc Khánh - Nguyễn Thị Hoa - Nhà xuất bản : Đại Học Quốc Gia Hà Nội - Kích thước : 17 x 24 cm - Số trang
Để đáp ứng yêu cầu đổi mới cách đánh giá học sinh trong môn Ngữ văn cấp THCS - Chương trình GDPT 2018 (tránh dùng lại các văn bản đã học trong sách giáo khoa
Hướng Dẫn Học Và Làm Bài Ngữ Văn 7 - Tập 1 (Bám Sát SGK Kết Nối Tri Thức Với Cuộc Sống) Trong giai đoạn đầu thực hiện chủ trương đổi mới chương trình sách
Sách mới gộp thành 1 cuốn: Nhà xuất bản : NXB Đại học Quốc gia Hà Nội Tác giả : Nguyễn Đức Tấn, Nguyễn Đoàn Vũ, Nguyễn Bình Dương
Bài Tập Phát Triển Năng Lực Ngữ Văn 7 - Tập 1 (KN) Từ năm học 2021-2022, chương trình và sách giáo khoa Ngữ văn Trung học cơ sở mới được triển khai dạy và
Đề Thi Tuyển Sinh Vào Lớp 10 Môn Tiếng Anh (Có Đáp Án) Tác giả: Trịnh Thanh Thủy Công ty phát hành: Zenbooks Nhà xuất bản: Thế giới Năm xuất bản: 2025 Giới thiệu về sách Đề Thi Tuyển Sinh Vào Lớp 10 Môn Tiếng Anh Đề Thi Tuyển Sinh Vào Lớp 10 Môn Tiếng Anh (Có Đáp Án) là tài liệu ôn luyện lý tưởng cho học sinh lớp 9 trong giai đoạn nước rút trước kỳ thi vào lớp 10. Cuốn sách tổng hợp các đề thi bám sát cấu trúc chính thức, giúp học sinh làm quen với dạng đề, nâng cao kỹ năng và tự tin bước vào kỳ thi quan trọng này. Nội dung nổi bật của sách - 28 đề thi cập nhật: Bao gồm 10 đề theo cấu trúc TP.HCM, 10 đề theo cấu trúc Hà Nội, và 8 đề thi thực tế từ 2020–2024. - Kiểm tra toàn diện: Đánh giá 5 kỹ năng: Ngữ âm, Từ vựng – Ngữ pháp, Đọc hiểu, Viết lại câu, và Viết luận (tự luận và trắc nghiệm). - Đáp án chi tiết: Hỗ trợ tự học, kiểm tra và đánh giá năng lực bản thân. - Phân chia theo vùng miền: Đáp ứng đặc thù đề thi của Hà Nội và TP.HCM, sát với thực tế. Điểm khác biệt của sách - Cập nhật mới nhất 2025: Phản ánh chính xác cấu trúc và xu hướng đề thi hiện tại. - Thực tiễn cao: Đề thi thực tế từ 2020–2024 giúp học sinh làm quen với áp lực thi thật. - Dễ sử dụng: Phù hợp cho tự học hoặc học cùng giáo viên/gia sư, với đáp án rõ ràng. - Uy tín biên soạn: Được đội ngũ giáo viên giàu kinh nghiệm của Zenbooks xây dựng cẩn thận. Đối tượng phù hợp Cuốn sách dành cho: - Học sinh lớp 9 ôn thi vào lớp 10, muốn nâng cao kỹ năng tiếng Anh. - Phụ huynh hỗ trợ con em ôn luyện hiệu quả cho kỳ thi quan trọng. -
Sách - Hướng dẫn ôn thi tốt nghiệp THPT môn Tin học năm học 2024-2025 (Bộ GD&ĐT công bố ngày 18/10/2024) - NXB Giáo Dục (BÁM SÁT CẤU TRÚC VÀ NỘI DUNG ĐỀ THI MINH
Mục lục: Phần 1: Hóa đại cương Chủ đề 1: Nguyên tử Chủ đề 2: Bảng tuần hoàn các nguyên tố hóa học và định luật tuần hoàn Chủ đề 3: Liên kết hóa học
Combo Bài Tập Em Học Toán Lớp 7 (Dùng Chung Cho Các Bộ SGK Mới Hiện Hành) (Bộ 2 Cuốn) Bộ sách gồm có: Bài Tập Em Học Toán Lớp 7 - Tập
Nhằm đáp ứng nhu cầu tự luyện tập, củng cố kiến thức và nâng cao kĩ năng học toán, chúng tôi trân trọng giới thiệu cùng bạn đọc cuốn sách Rèn kĩ năng học tốt

Sách - bài tập nâng cao vật lí 9 bồi dưỡng học sinh giỏi (dùng chung cho các bộ sgk hiện hành) + ha Nhằm giúp học sinh nắm vững các kiến thức trọng
Cuốn sách bài tập này dùng kèm với cuốn Em học Toán 9 (do đó trong sách có dùng kí hiệu SGK khi nói về cuốn sách trên), nhằm giúp các em có thêm bài
SÁCH - Tư liệu dạy - học địa lí 9 (dùng chung cho các bộ sgk hiện hành) Tư Liệu Dạy - Học Địa Lí 9 (Dùng Chung Cho Các Bộ SGK Hiện Hành) Sách TƯ
Cuốn sách bài tập này dùng kèm với cuốn Em học Toán 9 (do đó trong sách có dùng kí hiệu SGK khi nói về cuốn sách trên), nhằm giúp các em có thêm bài
CAM KẾT VÀ BẢO HÀNH - Đảm bảo và cam kết sản phẩm đúng với mô tả và hình ảnh của shop. - Đổi trả sản phẩm miễn phí trong vòng 7 ngày nếu sản
Sách - Hướng dẫn giải bài tập toán 9 (bám sát sgk kết nối tri thức với cuộc sống) - HA Cuốn sách Sách - Hướng dẫn giải bài tập toán 9 (bám sát sgk
Sách - Bồi Dưỡng Học Sinh Giỏi Lịch Sử 8 (Theo chương trình GDPT mới) - ndbooks Chương trình Lịch sử lớp 8 ở trường THCS có nhiều nội dung phong phú, vừa gắn với
Cuốn sách bài tập này dùng kèm với cuốn Em học Toán 9 (do đó trong sách có dùng kí hiệu SGK khi nói về cuốn sách trên), nhằm giúp các em có thêm bài
Cuốn sách " 500 bài tập cơ bản và nâng cao Toán 9" nhằm giúp các em học sinh khá, giỏi lớp 9 có một tài liệu Toán nâng cao giúp đánh giá năng lực,
Công ty phát hành: NXB Giáo Dục Việt Nam Nhà xuất bản: NXB Giáo dục Việt Nam Tác giả: Nhiều tác giả Số trang: 87 Năm xuất bản: 2025 Khổ sách: 19x26.5 cm Hình thức:
Hướng Dẫn Học Ngữ Văn 7- Tập 2 (Bám Sát SGK Chân trời sáng tạo ) Với mong ước giảm bớt gánh nặng cho quý thầy cô và giúp các em khám phá vẻ kì
Sách - Giúp em giỏi toán 9/2 (bám sát sgk kết nối tri thức với cuộc sống) - HA Cuốn sách Giúp em giỏi Toán 9 – Tập hai được biên soạn bám sát
CAM KẾT VÀ BẢO HÀNH - Đảm bảo và cam kết sản phẩm đúng với mô tả và hình ảnh của shop. - Đổi trả sản phẩm miễn phí trong vòng 7 ngày nếu sản
👁️ 36 | ⌚2025-10-01 08:13:11.265


Ta Chính Là Những Thứ Ta Ăn ------------ TA CHÍNH LÀ NHỮNG THỨ TA ĂN - Lời mời gọi xem xét toàn diện cách mỗi người chúng ta nấu và ăn Khi tác giả
Ta Chính Là Những Thứ Ta Ăn ------------ TA CHÍNH LÀ NHỮNG THỨ TA ĂN - Lời mời gọi xem xét toàn diện cách mỗi người chúng ta nấu và ăn Khi tác giả
Ta Chính Là Những Thứ Ta Ăn ------------ TA CHÍNH LÀ NHỮNG THỨ TA ĂN - Lời mời gọi xem xét toàn diện cách mỗi người chúng ta nấu và ăn Khi tác giả
Ta Chính Là Những Thứ Ta Ăn ------------ TA CHÍNH LÀ NHỮNG THỨ TA ĂN - Lời mời gọi xem xét toàn diện cách mỗi người chúng ta nấu và ăn Khi tác giả
Ta Chính Là Những Thứ Ta Ăn ------------ Ta Chính Là Những Thứ Ta Ăn ------------ TA CHÍNH LÀ NHỮNG THỨ TA ĂN - Lời mời gọi xem xét toàn diện cách mỗi
Mã hàng 8935095632220 Tên Nhà Cung Cấp Huy Hoàng Tác giả Alice Waters Dịch giả Ngạnh NXB NXB Thanh Niên Năm XB 2022 Trọng lượng (gr) 250 Kích Thước Bao Bì 24 x 16 x
Ta Chính Là Những Thứ Ta Ăn ------------ TA CHÍNH LÀ NHỮNG THỨ TA ĂN - Lời mời gọi xem xét toàn diện cách mỗi người chúng ta nấu và ăn Khi tác giả
Cuốn Sổ Lớn Montessori - Về Khám Phá Thế Giới Chào mừng đến với hành trình Montessori, trong cuốn sách này chúng tôi sẽ giới thiệu nhiều hoạt động đa dạng, theo cấp độ tăng
Lần đầu tiên khi tôi khám phá ra sức mạnh của lý do TẠI SAO là khi tôi cần đến nó trong cuộc đời mình. Nó không phải là kết quả của việc theo đuổi
TA CHÍNH LÀ NHỮNG THỨ TA ĂN - Lời mời gọi xem xét toàn diện cách mỗi người chúng ta nấu và ăn. Khi tác giả Alice Waters mở nhà hàng Chez Panisse lần đầu
Tối Đa Hóa Năng Lực Bản Thân (Tái Bản 2023) Bạn cũng không thể âm thầm chờ đợi một cố vấn hoàn hảo nào đó sẽ xuất hiện và chỉ cho bạn cách phát triển
365 Ngày Đầu Tiên Ở Xứ Sở Hoa Anh Đào - Hành Trình Du Học Ở Tuổi 15 Cuốn sách như một cuốn nhật ký chân thực và sinh động ghi lại hành trình 1
“Con người được sinh ra với khát vọng tìm kiếm hạnh phúc chứ không phải để dễ dàng đạt được hạnh phúc.” Có những cánh cửa chỉ mở ra với người đủ kiên nhẫn gõ
Tên sách: Cái khó ló cái khôn: Cách người nghèo sống với hai đô-la mỗi ngày Tác giả: Daryl Collins, Jonathan Morduch Stuart Rutherford, Orlanda Ruthven Dịch giả: Ngô Đình Nguyên Thạch Số trang: 336 trang Khổ
Cú Đánh Thức Tỉnh Trí Sáng Tạo Tất cả chúng ta, ai cũng làm việc cần cù và rất muốn có được những ý tưởng sáng tạo. Đôi khi chúng ta tự hỏi, vì sao
1. MÔ TẢ SẢN PHẨM Bút sáp vặn Minions 24 màu - 8120 với màu sắc tươi sáng, chuẩn mỹ thuật, nét tô đều, mịn, ít vụn màu. Thân bút sử dụng nhựa nguyên sinh,
Những ngày mười tám đôi mươi ta đều mơ những giấc mơ lớn, đều khao khát đạp tung tất cả để bay ra khỏi vòng tay của gia đình, mẹ cha. Những ngày hăm lăm
Đối với trẻ nhỏ việc giúp bé phát triển khả năng tư duy sáng tạo là điều rất quan trọng, vì vậy cha mẹ cần quan tâm giúp trẻ rèn luyện kích thích hoạt động
TRÍ THÔNG MINH TÍCH CỰC 1. Nội dung tóm tắt: Trong mỗi quyết định chúng ta đưa ra, trong mỗi lời ta nói hay việc ta làm đều có sự tham gia điều khiển của
Sách - Krishnamurti Thực Tại Hiện Tiền Thực tại, cái mà con người đã tìm kiếm suốt hàng triệu năm, cái được diễn giải bởi những bộ óc khác nhau, bởi những người khác nhau