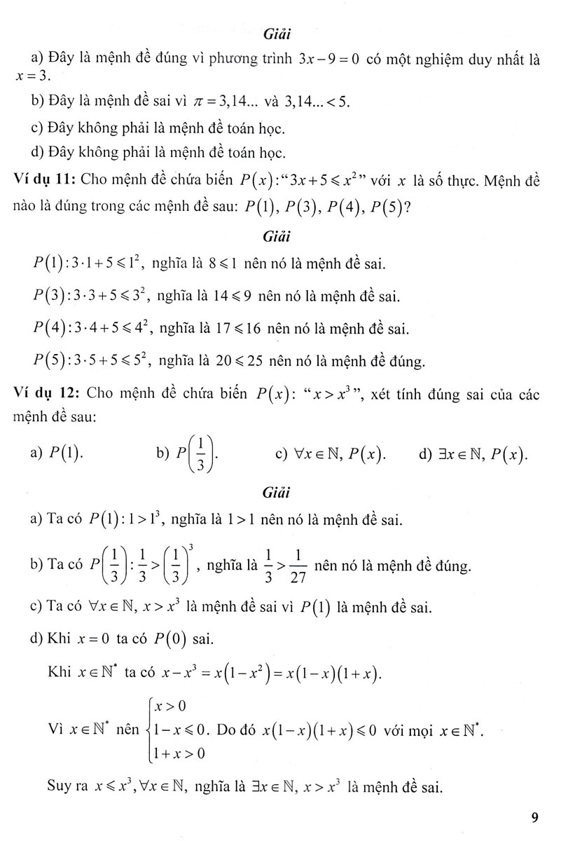
✨Khám Phá Toán 10: Để Học Giỏi - Tập 1 (Dùng Kèm SGK Cánh Diều)

Khám Phá Toán 10: Để Học Giỏi - Tập 1 (Dùng Kèm SGK Cánh Diều)Bắt đầu từ năm học 2022 - 2023, học sinh lớp 10 sẽ học theo chương trình mới với rất nhiều thay đổi so với chương trình trước đó. Nội dun...

mua sản phẩm tại Shopee Mua tại Shopeemua sản phẩm tại TikiMua tại Tikimua sản phẩm tại LazadaMua tại Lazadamua sản phẩm tại TiktokMua tại Tiktok
Khám Phá Toán 10: Để Học Giỏi - Tập 1 (Dùng Kèm SGK Cánh Diều)Khám Phá Toán 10: Để Học Giỏi - Tập 1 (Dùng Kèm SGK Cánh Diều)Khám Phá Toán 10: Để Học Giỏi - Tập 1 (Dùng Kèm SGK Cánh Diều)Khám Phá Toán 10: Để Học Giỏi - Tập 1 (Dùng Kèm SGK Cánh Diều)Khám Phá Toán 10: Để Học Giỏi - Tập 1 (Dùng Kèm SGK Cánh Diều)Khám Phá Toán 10: Để Học Giỏi - Tập 1 (Dùng Kèm SGK Cánh Diều)

Khám Phá Toán 10: Để Học Giỏi - Tập 1 (Dùng Kèm SGK Cánh Diều) Bắt đầu từ năm học 2022 - 2023, học sinh lớp 10 sẽ học theo chương trình mới với rất nhiều thay đổi so với chương trình trước đó. Nội dung ở chương trình mới giúp các bạn tiếp cận Toán học gần gũi hơn với cuộc sống và giảm nhẹ các yếu tố hàn lâm. Các bạn cũng được định hướng để phát triển năng lực Toán học với 5 thành tố: năng lực tư duy và lập luận toán học, năng lực mô hình hóa toán học, năng lực giải quyết vấn đề toán học, năng lực giao tiếp toán học, và năng lực sử dụng công cụ và phương tiện học toán. Do đó, ngoài nội dung chính học theo chương, bài, các bạn còn được học các chuyên đề và các hoạt động thực hành trải nghiệm. Bên cạnh sự thay đổi chương trình, các bạn cũng có cơ hội tiếp cận nhiều hơn một bộ sách giáo khoa. Những bộ sách giáo khoa này có thể có tiến trình các bài học với thứ tự khác nhau nhưng vẫn đảm bảo đầy đủ nội dung của chương trình môn Toán theo quy định.

Bộ sách gồm hai tập. Tiến trình của bộ sách được biên soạn dựa trên bộ sách giáo khoa "Cánh Diều" và theo sát nội dung được quy định trong chương trình Toán lớp 10. Cấu trúc sách này được xây dựng nhằm mục đích giúp các em có thể tự học. Vì vậy lý thuyết được truyền tải bằng ngôn ngữ dễ hiểu, có liên kết với các nội dung đã học đồng thời định hướng các dạng bài tập hoặc câu hỏi trọng tâm theo hướng phát triển tư duy.  

mua sản phẩm tại Shopee Mua tại Shopeemua sản phẩm tại TikiMua tại Tikimua sản phẩm tại LazadaMua tại Lazadamua sản phẩm tại TiktokMua tại Tiktok
Sách - Sổ Tay Thực Hành Quy Trình điều dưỡng dựa vào bằng trứng tập 1 tăng cường sức khỏe được biên soạn nhằm hỗ trợ cho sinh viên và điều dưỡng thực hiện đánh
Sách - Giáo trình luật dân sự 1 - Phần chung Tác giả PGS.TS. NGÔ HUY CƯƠNG - TS.NGUYỄN THỊ PHƯƠNG CHÂM - TS.TRẦN KIÊN (Đồng Chủ biên) Nhà xuất bản NXB Đại Học Quốc
Sách 900 Câu Tiếng Anh Giao Tiếp Thường Dùng Hàng Ngày - Cẩm Nang Cho Mẹ Cùng Con Học Tiếng Anh Mỗi Ngày (Kèm File Nghe - Quét QR)   GIỚI THIỆU SẢN PHẨM: Cuốn
Sách - Bé Học Tiếng Anh Qua Hình Ảnh (1.000+ Từ Vựng Tiếng Anh Đầu Tiên Cho Bé - 28 Chủ Đề - Song Ngữ Anh Việt - File Nghe QR)   GIỚI THIỆU SẢN
Nội dung gồm có:   Chương 1. Phóng xạ và đồng vị phóng xạ Chương 2. Tương tác của bức xạ hạt nhân với vật chất Chương 3. Hiệu ứng đồng vị và phản ứng
Cuốn sách được hệ thống hóa với cấu trúc lôgíc, khoa học, bố cục chặt chẽ, tập trung đi sâu, làm sáng tỏ những vấn đề lý luận, thực tiễn về cơ sở, quá trình
Mã hàng 8936067605334 Tên Nhà Cung Cấp Minh Long Tác giả Nguyễn Thanh Lâm, Nguyễn Tú Phương NXB NXB Đại Học Quốc Gia Hà Nội Năm XB 2022 Ngôn Ngữ Tiếng Việt Trọng lượng (gr)
Tên sách: IELTS WRITING: Viết luận “chất như nước cất” Tác giả: Nguyễn Hoàng Huy (chủ biên), Hoàng Phước Nguyên, Ngô Trần Anh Thư, Nguyễn Hoàng Anh Thư, Phạm Ngọc Thắng Người vẽ minh hoạ
Trí tuệ nhân tạo (AI) đang làm thay đổi mọi lĩnh vực và giáo dục cũng không ngoại lệ. Nhưng AI không đến để thay thế giáo viên. AI đến để giúp thầy cô tự
Trí tuệ nhân tạo (AI) đang làm thay đổi mọi lĩnh vực và giáo dục cũng không ngoại lệ. Nhưng AI không đến để thay thế giáo viên. AI đến để giúp thầy cô tự
Trí tuệ nhân tạo (AI) đang làm thay đổi mọi lĩnh vực và giáo dục cũng không ngoại lệ. Nhưng AI không đến để thay thế giáo viên. AI đến để giúp thầy cô tự
Trí tuệ nhân tạo (AI) đang làm thay đổi mọi lĩnh vực và giáo dục cũng không ngoại lệ. Nhưng AI không đến để thay thế giáo viên. AI đến để giúp thầy cô tự
Mã hàng 8936110989855 Tên Nhà Cung Cấp Megabook Tác giả Nguyễn Xuân Nam, Trần Thị Den Ni NXB Đại Học Quốc Gia Hà Nội Năm XB 2022 Trọng lượng (gr) 250 Kích Thước Bao Bì
Cuốn sách giới thiệu toàn bộ nội dung Điều lệ Mặt trận Tổ quốc Việt Nam được Đại hội đại biểu toàn quốc Mặt trận Tổ quốc Việt Nam lần thứ IX thông qua ngày
Là người sáng lập và rèn luyện Đảng ta, Chủ tịch Hồ Chí Minh suốt đời chăm lo xây dựng Đảng thành một đảng cách mạng chân chính, “là đạo đức, là văn minh”. Khát
Chia Sẻ thuộc thể loại báo chí mang phong cách đối thoại, nhằm chuyển tải những thông điệp, thể hiện quan điểm, chính kiến của tác giả cũng như những người làm báo trước những
Vở thực hành Lịch sử và địa lí 9 - Kết nối (phần lịch sử)
LÀN SÓNG THỨ BA (The Third Way) - Alvin Toffler - Phúc Lâm dịch - (bìa mềm) - Giá bìa: 289.000đ Làn sóng thứ Ba xuất bản lần đầu năm 1980 là quyển thứ hai
VĂN BẢN VÀ HỆ SINH THÁI VĂN BẢN - Việt Điện U Linh Tập Từ Chức Năng Đến Nghệ Thuật - Đào Phương Chi (khảo cứu, di chú - bìa mềm) - Giá bìa: 265.000đ
Các hệ thống học máy (ML) vừa phức tạp vừa độc đáo. Phức tạp vì chúng cấu thành từ nhiều thành phần khác nhau và cần tới nhiều bên liên quan khác nhau. Độc đáo vì chúng phụ thuộc vào dữ liệu, với dữ liệu có thể thay đổi rất lớn tùy vào từng trường hợp sử dụng cụ thể. Trong cuốn sách này, bạn sẽ học được một cách tiếp cận toàn diện để thiết kế các hệ thống học máy đáng tin cậy, có khả năng mở rộng, dễ bảo trì và thích ứng với các môi trường và yêu cầu kinh doanh thay đổi. Tác giả Chip Huyen, đồng sáng lập Claypot Al, xem xét từng quyết định thiết kế – chẳng hạn làm cách nào xử lý và tạo dữ liệu huấn liệu, cần sử dụng những đặc trưng nào, tần suất huấn luyện lại mô hình là bao nhiêu và cần giám sát những gì – để cân nhắc làm sao giúp hệ thống của bạn đạt được các mục tiêu tổng thể. Framework lặp trong cuốn sách này sử dụng các nghiên cứu tình huống thực tế kèm theo nguồn tham khảo phong phú. Cuốn sách này sẽ giúp bạn giải quyết các kịch bản như: - Xử lý kỹ thuật dữ liệu và lựa chọn các độ đo phù hợp để giải quyết vấn đề kinh doanh. - Tự động hóa quy trình phát triển, đánh giá, triển khai và cập nhật mô hình một cách liên tục. - Phát triển hệ thống giám sát để nhanh chóng phát hiện và giải quyết những vấn đề mà mô hình của bạn có thể gặp phải trong môi trường production. - Kiến thiết một nền tảng ML phục vụ hàng loạt trường hợp sử dụng. - Phát triển các hệ thống ML có trách nhiệm.                  
Cuốn sách được kết cấu làm 3 phần, với hơn 600 trang và gần 100 bức ảnh, trong đó có những bức ảnh lần đầu tiên được công bố. Phần thứ nhất có tiêu đề: “Một
Thực hiện công bằng xã hội ở nước ta không chỉ là hướng tới mục tiêu của chủ nghĩa xã hội, mà còn là một động lực quan trọng nhằm thúc đẩy phát triển kinh
Thuật Ngữ Tâm Lí Học: Anh - Việt - Đức - Pháp Tác giả: Hoàng Hưng (chủ biên), Nguyễn Viết Dũng Cuốn Thuật ngữ Tâm lí học Anh - Việt - Đức - Pháp chú giải tiếng Việt
GIỚI THIỆU NỘI DUNG Cuốn sách giới thiệu toàn diện về song ngữ và giáo dục song ngữ và bàn luận về nhiều vấn đề trong vấn đề quan trọng về song ngữ ở cấp
Di Truyền Học - Bài Tập Chuyên Đề Cuốn sách Di tuyền học (Bài tập chuyên đề) là cuốn sách cung cấp các dạng bài tập vận dụng ở nhiều mức độ khác nhau. Những câu
vCuốn sách có nội dung về lý luận cơ bản của xã hội học và vận dụng được kiến thức về chức năng của xã hội học trong lãnh đạo, quản lý ở Việt Nam
Nhà xuất bản : Nhà Xuất Bản Thế Giới. Công ty phát hành : Omega Plus. Tác giả : Niall Ferguson. Kích thước : 16 x 24 cm. Số trang : 696. Ngày xuất bản
Trong lịch sử phát triển của quốc gia Việt Nam thời kỳ phong kiến tự chủ đầu thế kỷ 11 đến giữa thế kỷ XIX có một vị trí trọng yếu đây là thời kỳ
Niên Giám Khoa Học Năm 2022 ( Bộ sách gồm 4 cuốn) ------------   Niên Giám Khoa Học Năm 2022 Bộ sách gồm 4 cuốn: 1. Những vấn đề  chính trị 2. Những vấn đề
Đại văn hào Lev Tolstoy và nghệ thuật tiểu thuyết ------------   Từ những nét khái quát về cuộc đời, sự nghiệp của đại văn hào, tác giả phân tích, bình luận một cách tỉ
BẢN DỊCH TIẾNG PHÁP Một số vấn đề lý luận và thực tiễn về chủ nghĩa xã hội và con đường đi lên chủ nghĩa xã hội ở Việt Nam Cuốn sách tập hợp 29
Cuốn sách tập hợp các bài tham luận trong Hội thảo khoa học “Tăng cường công tác xây dựng Đảng trong các cơ quan báo chí”, do Ban Tuyên giáo Trung ương Đảng chủ trì,
Hóa học Vô cơ hay Hóa học Đại cương Vô cơ là giáo trình giảng dạy cho sinh viên năm đầu ở các trường Đại học. Giáo trình bao gồm một khối lượng ngày càng
"Hoạt động cung tiến là một chủ đề rất lớn được ghi chép lại trong văn bia. Có thể khẳng định rằng văn khắc Hán Nôm chủ yếu là văn bia mang chủ để cung
Tại sao phần lớn con người thuận tay phải? Người thuận tay phải và người thuận tay trái hành xử khác nhau như thế nào? Tại sao tim nằm bên trái? Mối quan hệ giữa
Cuốn sách "Quá trình phát triển và sụp đổ của chế độ Ngô Đình Diệm – Ngập giữa vũng lầy" của David Halberstam là tác phẩm ghi lại những gì tác giả chứng kiến tại miền Nam
Sciencia - Toán học, Vật lý, Hóa học, Sinh học, và Thiên văn học là một cuốn sách đại chúng và cũng khá đặc biệt. Nó là một dạng sổ tay cho học sinh, nhưng đôi
- Bộ sách do đội ngũ tác giả bao gồm các chuyên gia, giảng viên Đại học, giáo viên THPT Chuyên – những người có kinh nghiệm, hiểu biết về kì thi và đã trực
Để viết quyển sách này, Hoạ sĩ - Nhà giáo nhân dân Uyên Huy đã tham khảo, tổng hợp, đúc kết cùng với kinh nghiệm hành nghề thiết kế và giảng dạy đã cố thiết lập hệ thống bài giảng và mỗi bài trình bày một hệ thống các vấn đề thật thiết thực cho việc truyền đạt và nghiên cứu học tập, đặc biệt là kinh nghiệm và quy trình thực hành cụ thể. “… Họa sĩ - Nhà giáo nhân dân Uyên Huy luôn quan tâm đến lĩnh vực đào tạo, sáng tạo, nghiên cứu mỹ thuật. Việc ông biên soạn sách "Nhận diện nghệ thuật Đồ họa để nghiên cứu, sáng tác và giảng dạy Thiết kế Đồ họa" là sách chuyên ngành Mỹ thuật. Quyển sách này cũng là một tư liệu Mỹ thuật công phu, tâm huyết rất quý với công chúng yêu mỹ thuật của thành phố và cả nước. Đặc biệt, đối với nghiên cứu và giảng dạy và đào tạo thế hệ trẻ…” - Nghệ Sĩ Nhà giáo Ưu tú Nguyễn Xuân Đông - Nguyên Trưởng khoa đồ họa Trường Đại Học Mỹ thuật TP.HCM "…Với tâm niệm: Cố gắng tham khảo, tổng hợp, đúc kết cùng với kinh nghiệm hành nghề thiết kế và giảng dạy để cố thiết lập hệ thống bài giảng và mỗi bày trình bày một hệ thống các vấn đề thật thiết thực cho việc truyền đạt và nghiên cứu học tập, đặc biệt là kinh nghiệm và quy trình thực hành cụ thể. Nhà giáo nhân dân - Họa sĩ Uyên Huy mong muốn trao truyền kiến thức, kinh nghiệm dày dặn mà ông tích lũy trong suốt cuộc đời dạy học và làm nghề, góp phần nâng cao trình độ lý thuyết và thực hành cho sinh viên trẻ ngày nay…" - Thạc sĩ Giảng viên lý luận mỹ thuật Trương Phi Đức - Nguyên Hiệu Trưởng Trường Đại học Mỹ Thuật Thành phố Hồ Chí Minh. "…Tôi thấy sách: "Nhận diện nghệ thuật Đồ họa để nghiên cứu, sáng tác và giảng dạy Thiết kế Đồ họa" của Nhà giáo nhân dân - Họa sĩ Uyên Huy là một biên khảo dày công, một giáo trình có giá trị giúp người hướng dẫn Thiết Kế Đồ Họa tham khảo thêm trong việc giảng dạy, giúp học sinh, sinh viên có được tư liệu giá trị, làm hành trang trong học tập cho mình…" - Họa sĩ Đặng Văn Long - Nguyên Trưởng Khoa Đồ họa Trường Đại học Mỹ thuật TP.HCM. "…Cuốn sách này là tổng đại thành của việc giảng dạy Thiết kế với tầm cao Chuyên nghiệp, đúc kết cả quá trình lên lớp và sáng tác trong suốt cuộc đời của Thầy Mười…" - Họa sĩ, nhà giáo Nguyễn Háo Thoại - Nguyên Phó Hiệu Trưởng Trường Cao đẳng Mỹ Thuật Trang trí Đồng Nai. "…Cuốn sách này của Thầy Mười không chỉ là tập hợp những kiến thức, kỹ thuật thiết kế đồ họa bài bản mà còn là lời tâm huyết của một nghệ sĩ suốt cả cuộc đời cống hiến cho sự phát triển của của ngành thiết kế đồ họa Việt Nam. Qua từng trang sách, ta cảm nhận được sự say mê, nhiệt huyết và tầm nhìn của Thầy đối với ngành thiết kế đồ họa Việt Nam…" - Họa sĩ, nhà thiết kế đồ họa Đỗ Cao Hiền - Giảng viên Khoa Mỹ thuật Ứng dụng, Trường Đại học Mỹ Thuật TP.HCM. "…Đây là công trình sưu tầm, nghiêm cứu, biên soạn có ý nghĩa, giá trị học thuật phục vụ cho công tác chuyên ngành, giảng dạy, sáng tạo nghệ thuật, là nguồn tư liệu bổ ích cho giảng viên, sinh viên các trường mỹ thuật và những đọc giả yêu thích về Nghệ thuật thị giác, chắc chắn đây sẽ là quyển sách mang lại cho bạn đọc nhiều kiến thức mới và bổ ích…" - Giáo sư – Tiến sĩ – Nhà giáo Nhân dân - Nhà điêu khắc Nguyễn Xuân Tiên - Nguyên Phó hiệu trưởng Trường Đại học Mỹ thuật và hiện là Chú tịch Hội Mỹ thuật Thành phố Hồ Chí Minh. "…Có thể thấy, cuốn sách: Nhận diện nghệ thuật Đồ họa để nghiên cứu, sáng tác và giảng dạy Thiết kế Đồ họa còn chứa đựng nhiều giá trị kiến thức hơn những gì tiêu đề sách mang lại…" - Họa sĩ, Tiến sĩ Đỗ Văn Dũng - Phó Hiệu Trưởng Trường Đại học Mỹ thuật TP.HCM.                
Combo Chinh Phục Điểm 8 - 9 - 10 Bài Tập Trắc Nghiệm Toán Giải Tích - Hình Học   Combo Chinh Phục Điểm 8 - 9 - 10 Bài Tập Trắc Nghiệm Toán Giải
Cuốn sách gồm 11 chương: Chương 1: chuyên ngành tâm lý học xã hội Chương 2: Cái tôi nhìn từ góc độ văn hóa và xã hội Chương 3:  Sự hấp dẫn và các mối
Công ty thông thái. Bí quyết đổi mới không ngừng ------------   GIỚI THIỆU CUỐN SÁCH  Công ty thông thái: Bí quyết đổi mới không ngừng   Tri thức vẫn luôn đóng một vai trò
Tri thức vẫn luôn đóng một vai trò quan trọng trong việc thu hút động lực đổi mới trong các tổ chức cũng như trong cộng đồng. Trong bối cảnh ngày nay, thay đổi tốc
Trong lịch sử phát triển của quốc gia Việt Nam, thời kỳ phong kiến tự chủ (từ đầu thế kỷ XI đến giữa thế kỷ XIX) có một vị trí trọng yếu. Đây là thời
Nội dung cuốn sách được chia theo các nhóm vấn đề: ở góc độ lý luận, cuốn sách tập trung trình bày nguồn gốc, lịch sử hình thành và phát triển các khái niệm, học
Cuốn sách nghiên cứu một cách tương đối toàn diện và có hệ thống về chính sách pháp luật tố tụng dân sự đáp ứng yêu cầu của cuộc cách mạng công nghiệp lần thứ
Cuốn sách được biên soạn theo bộ sách giáo khoa mới - “Kết nối tri thức với cuộc sống” môn Ngữ văn 10, tập 1 + 2, nằm trong Chương trình Giáo dục phổ thông
Niên Giám Khoa Học Năm 2021 Bộ sách gồm 4 cuốn: 1. Tập I -  Những vấn đề  chính trị 2. Tập II -  Những vấn đề kinh tế 3. Tập III - Những vấn
Nội dung : Hóa học Vô cơ hay Hóa học Đại cương Vô cơ là giáo trình giảng dạy cho sinh viên năm đầu ở các trường Đại học. Giáo trình bao gồm một khối
THỊNH VƯỢNG GIA TỘC - Phương Thức Bảo Tồn Và Chuyển Giao Gia Sản Con Người, Trí Tuệ Và Tài Chính Qua Các Thế Hệ - James E. Hughes, Jr. Susan E. Massenzio, Keith Whitaker
Premier League - Lịch sử giải Ngoại hạng Anh và sự phát triển của chiến thuật bóng đá Tác giả: Michael Cox (Anh) Người dịch: Đoàn Duy ----------------------------------------------------------------------------------------------------------- Cuốn sách này kể lại lịch sử Premier
GIỚI THIỆU CUỐN SÁCH Công ty thông thái: Bí quyết đổi mới không ngừng   Tri thức vẫn luôn đóng một vai trò quan trọng trong việc thu hút động lực đổi mới trong các
Công ty thông thái. Bí quyết đổi mới không ngừng ------------   GIỚI THIỆU CUỐN SÁCH  Công ty thông thái: Bí quyết đổi mới không ngừng   Tri thức vẫn luôn đóng một vai trò
Combo Chinh Phục Đỉnh Olympia Toán - Lý - Sử - Anh bao gồm: 1. Chinh Phục Đỉnh Olympia Những Mẫu Chuyện Tìm Tòi Và Sáng Tạo Trong Toán Học 2. Chinh Phục Đỉnh Olympia Ngân
Miếng ăn, tiền mặt, xèng, đồng, bạc, hào… cho dù bạn gọi nó là gì thì tiền vẫn quan trọng. Với mỗi người tiền mang một ý nghĩa khác nhau.    Với người Ki-tô giáo,
Cái Chết Của Giới Chuyên Gia  gây tiếng vang lớn ngay sau khi ra đời. Nó được nằm trong Top danh mục sách phi hư cấu hay nhất năm 2017 và Top 50 tác phẩm hay
Tác giả: Mai Lan Hương, Hà Thanh Uyên Nhà xuất bản Đà Nẵng Số trang: 560 Kích thước: 17cm x 25cm x 1.6cm Cân nặng: 400g Năm xuất bản: 2022 Công ty phát hành: Zenbooks
Cuốn sách Quản trị Đảng nghiêm minh toàn diện - Thành tựu và kinh nghiệm trong công tác tổ chức và xây dựng Đảng Cộng sản Trung Quốc từ sau Đại hội XVIII là sách
Thực Ra Mọi Đứa Trẻ Đều Thích Nghe Đọc Sách - Jim Trelease, Cyndi Giorgis ------------   Thực Ra Mọi Đứa Trẻ Đều Thích Nghe Đọc SáchBạn có biết đọc sách cho trẻ nghe có
Trang đầu 2 3 4 5 6 7 8 9 10 11 12 13 14 15 16 17 18 19 20 Trang cuối
👁️ 66 | ⌚2025-09-20 21:22:35.466

QC Shopee
Sức Mạnh Của Thói Quen (Power Of Habits) (Tái Bản) Về cơ bản, người lớn và trẻ em không khác nhau là mấy. Bởi hầu hết những hành động hàng ngày của chúng ta đều
Nuri là một người nuôi ong và Afra, vợ anh, là một nghệ sĩ. Buổi sáng, Nuri dậy sớm để cầu nguyện trước khi lái xe đến trại nuôi ong ở miệt thôn quê. Vào
Việt Nam Phong Tục Ấn bản đầy đủ nhất của “Việt Nam phong tục” - tập khảo cứu toàn diện về phong tục, tập quán của người Việt xưa của học giả Phan Kế Bính. Tập sách có thêm phần chú giải, hiệu chỉnh giúp độc giả ngày nay có thể hiểu rõ hơn tác phẩm. "Việt Nam phong tục” là một nghiên cứu khá kĩ lưỡng, bức tranh toàn diện về phong tục, tập quán của người Việt, từ phong tục trong gia đình, làng xã đến phong tục quốc gia, xã hội được viết với văn phong hiện đại dù vẫn chịu ảnh hưởng của lối viết biền ngẫu đăng đối trong văn học cổ. Mỗi chương, mục đều được tác giả trình bày và diễn giải khúc chiết, ngắn gọn, rõ ràng với quan điểm khá tân tiến so với những người cùng thời. “Ta ngoảnh lại mà xem những tục cũ thì tỏ ra nhiều điều ngày trước là hay mà bây giờ hóa ra hủ bại lắm rồi. Đó cũng không phải là tổ tiên ta khi trước có vụng dại gì, chỉ là thời thế mỗi lúc một khác, mà mỗi lần biến cải thì cái trình độ khai hóa lại tấn tới thêm lên một tầng. Ấy cũng là cái lẽ tự nhiên của tạo hóa như thế. Tuy vậy cái tục cũ truyền nhiễm đã lâu, không dễ mà một mai đổi ngay được. Muốn đổi thì phải lựa dần dần, trước hết phải xét điều gì quá tệ mà bỏ bớt đi, rồi lâu lâu mới đem cái tục hay mà bổ hết cho các tục dở. Còn tục gì hay mà là quốc túy của ta thì cứ giữ lấy.” (Tựa, Việt Nam phong tục) --- Phan Kế Bính (1875 – 1921), hiệu là Bưu Văn, quê ở làng Thụy Khê, huyện Hoàn Long, tỉnh Hà Đông (nay thuộc phường Thụy Khuê, quận Tây Hồ, Hà Nội). Ông là một nhà báo, nhà khảo cứu và dịch giả nổi tiếng của Việt Nam đầu thế kỉ 20. Tên tuổi của ông gắn liền với các tờ báo Ðông Dương tạp chí, Lục tỉnh tân văn, Trung Bắc tân văn. Đặc biệt, ông có thời gian làm trong ban biên tập Đông Dương tạp chí, và nhiều tác phẩm của ông được đăng trên tạp chí này, tiêu biểu là “Việt Nam phong tục”.
Tâm Hành - Giữ Tâm Điềm Tĩnh, Sống Đời Thảnh Thơi Thế nào là tu hành? Là “ẩn cư” ở nơi thâm sơn cùng cốc? Là thiền định vài tháng rồi khoe khoang bản thân
Sách -Yến hội và Phaeorus Tên Nhà Cung Cấp: Omega Plus Tác giả: Platon Người Dịch Đỗ Khánh Hoan NXB: NXB Thế Giới Năm XB: 2019 Ngôn Ngữ Tiếng Việt Trọng lượng (gr) 320 Kích
Bạn có biết quả bóng đá ban đầu có màu hạt dẻ, cựu Tổng thống Mỹ Barack Obama từng là thành viên một đội bóng rổ và Aikido là một trong số ít những môn
Yến Hội Và Phaedrus ------------   Từ khi được sáng tác lần lượt vào khoảng năm 385-380 TCN và 370 TCN, Yến hội và Phaedrus vẫn được coi là các triết phẩm gây nhiều ấn
Cuốn Sách Lớn Đầu Tiên Của Tớ: Vũ Trụ Thế giới có muôn vàn điều kì thú và bộ sách Cuốn Sách Lớn Đầu Tiên của Tớ sẽ dẫn bé bước vào cuộc hành trình
“Ít có bộ môn sáng tác nghệ thuật nào thường xuyên gắn bó với chu kỳ sống của chúng ta như nhiếp ảnh”. Đúng như nhận định đầu tiên trong Lời giới thiệu sách, từ
Truyện Tranh Triết Học Cho Trẻ Em, Và Cả… Cho Người Lớn - Các Nhà Hiền Triết Bất Kham Suy tư triết học chính là chống lại những định kiến, những lối mòn suy ngẫm
CƠ THỂ VÀ NÃO BỘ: AI LÀM CHỦ? Không ai có thể sở hữu bộ não hoàn hảo không khuyết điểm, không ai có bộ não hoàn toàn “bình thường”. Não bộ của mỗi người
Tình Dục Thuở Hồng Hoang "Bạn đang có trong tay một cuốn sách vô cùng thú vị… Cuốn sách này đã đặt ra những vấn đề sẽ cần đến rất nhiều cuộc thảo luận để
Factopia là cuốn sách hoàn hảo cho bất kỳ người yêu thích sự thật nào, chứa 400 sự thật khác nhau để khám phá và kinh ngạc, bao gồm đủ mọi chủ đề tự nhiên
Factopia – 400 điều sửng sốt nơi Xứ Sự Thật Factopia là cuốn sách hoàn hảo cho bất kỳ người yêu thích sự thật nào, chứa 400 sự thật khác nhau để khám phá và
Kỹ năng tối ưu hóa hiệu quả đầu tư với quy tắc “Tam giác vàng quản lý tài chính” "Tam giác vàng quản lý tài chính" nghĩa là chi phí sinh hoạt chung chiếm 60%
30 TUỔI - MỌI THỨ CHỈ MỚI BẮT ĐẦU “Bởi vì, ba mươi tuổi mọi thứ chỉ mới bắt đầu. Đừng sợ đau khổ. Tất cả những khổ đau phải trải qua ở tuổi đôi
“Hành Tinh Biển – Khám Phá Hệ Sinh Thái Đầy Màu Sắc Dưới Đại Dương” là một chuyến du hành sinh động, đưa bạn đến những vùng biển xa xôi, nơi sự sống được hình
Sách - A Mind For Numbers - Cách Chinh Phục Toán Và Khoa Học - Alpha Books - Bìa Mềm ------------   Sách - A Mind For Numbers - Cách Chinh Phục Toán Và Khoa
Cá chình châu Âu, Anguilla anguilla, là một trong những sinh vật kỳ lạ nhất mà thiên nhiên từng tạo ra. Có rất ít thông tin về sinh vật nay ngay cả đến ngày nay.
Với hơn một thập kỷ nghiên cứu về hạnh phúc và bản chất con người, một ngày nọ, sau khi bước ra từ phòng khám mắt, Gretchen Rubin chợt nhận thấy mình đã bỏ qua